-
-
菲羅門 SuperClean PRS SPE小柱
高品質固相萃取SPE產品
·簡便的濃縮,凈化和溶劑轉換
·消除污染物和樣品基質影響,以提高檢測信號,延長色譜柱壽命
·全面的技術支持和方法開發協助
·嚴謹的QC/QA生產規程,確保質量,性能,滿意度和重現性
·改良的選擇性提供更出色的凈化和分離效果
·簡便地濃縮分析目標物
菲羅門硅膠基質固相萃取小柱SPE樣品前處理產品:SuperClean 系列
1.快速、簡便地凈化樣品,濃縮分析物和溶劑轉換
2.除去污染物和排除樣品基質干擾,改善分離度,延長色譜柱壽命
3.全面的 QC 測試確保始終如一的高品質
4.簡單的方法開發和樣品制備程序
5.優化的選擇性使分離更容易,重現性更好
菲羅門 SuperClean PRS SPE小柱
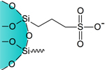
PRS(丙磺酸)是以丙磺酸鍵合硅膠為填料的強陽離子交換型萃取柱,對弱堿性化合物具有良好的保留能力。
PRS中不存在非極性次級作用,因而具有獨特的選擇性。如使用SCX,樣品基質中的非極性成分產生干擾時,可用PRS進行萃取。

菲羅門 SuperClean PRS SPE小柱特點:
?對吡啶類物質有很高的回收率
?分離機理單一,無次級相互作用
菲羅門 SuperClean PRS SPE小柱參數:
碳含量:4.5%
比表面積:310 m2/g
粒徑:40-75 μm
平均孔徑:100 ?
菲羅門 SuperClean PRS SPE小柱應用:
?檢測生物基質中的吡啶類藥物及其代謝物
?測定孔雀石綠、結晶紫、河豚毒素及亞甲基藍等堿性污染物
菲羅門 SuperClean PRS SPE小柱相關標準:
?NY/T 1756-2012 飼料中孔雀石綠的測定
?GB/T 20361-2006 水產品中孔雀石綠和結晶紫殘留量的測定 高效液相色譜熒光檢測法
菲羅門 SuperClean PRS SPE小柱供貨信息:
貨號 |
描述 |
規格 |
包裝 |
9B-T007-01100 |
SupercleanPRS(SO3H) |
100mg/1ml |
100/Box |
9B-T007-03200 |
SupercleanPRS(SO3H) |
200mg/3ml |
50/Box |
9B-T007-03500 |
SupercleanPRS(SO3H) |
500mg/3ml |
50/Box |
9B-T007-06500 |
SupercleanPRS(SO3H) |
500mg/6ml |
30/Box |
9B-T007-061000 |
SupercleanPRS(SO3H) |
1g/6ml |
30/Box |
9B-T007-121000 |
SupercleanPRS(SO3H) |
1g/12ml |
20/Box |
9E-T007-96050 |
SupercleanPRS(SO3H),96welplate |
50mg |
2/Box |
9E-T007-96100 |
SupercleanPRS(SO3H),96wellplate |
100mg |
2/Box |